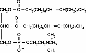
1,2-Dielaidoyl-sn-glycero-3-phosphocholine

CAS Number56782-46-8
FormulaN/A
Mol. Weight786.11 g/mol
1,2-Dielaidoyl-sn-glycero-3-phosphocholine
What is 1,2-Dielaidoyl-sn-glycero-3-phosphocholine?
1,2-Dielaidoyl-sn-glycero-3-phosphocholine is a chemical compound with CAS number 56782-46-8. It is used in various industrial and research applications.
Specifications
Molecular Weight
786.11 g/mol
Assay/Purity
≥98% (GLC, TLC)
Safety Information
GHS07Signal Word
Warning
Hazard Statements
H315-H319-H335
Precautionary Statements
P261-P305 + P351 + P338
Required PPE
dust mask type N95 (US), Eyeshields, Gloves
WGK Germany
3
Frequently Asked Questions
Alternative Names & Synonyms
C44H84NO8P
