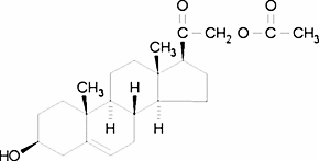
21-Acetoxypregnenolone

CAS Number566-78-9
FormulaC23H34O4
Mol. Weight374.51 g/mol
21-Acetoxypregnenolone
What is 21-Acetoxypregnenolone?
21-Acetoxypregnenolone is a chemical compound with CAS number 566-78-9 and molecular formula C23H34O4. It is used in various industrial and research applications.
Specifications
Molecular Weight
374.51 g/mol
