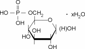
D-Glucose 6-phosphate solution

CAS Number56-73-5
FormulaC6H13O9P
Mol. Weight260.14 g/mol
D-Glucose 6-phosphate solution
What is D-Glucose 6-phosphate solution?
D-Glucose 6-phosphate solution is a chemical compound with CAS number 56-73-5 and molecular formula C6H13O9P. It is used in various industrial and research applications.
Specifications
Molecular Weight
260.14 g/mol
Safety Information
GHS05Signal Word
Danger
Hazard Statements
H314
Precautionary Statements
P280-P305 + P351 + P338-P310
Required PPE
Eyeshields, Faceshields, full-face particle respirator type N100 (US), Gloves, respirator cartridge type N100 (US), type P1 (EN143) respirator filter, type P3 (EN 143) respirator cartridges
EC Number
200-286-9
WGK Germany
3
