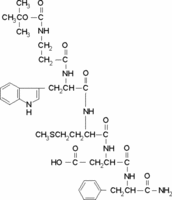
Pentagastrin

CAS Number5534-95-2
FormulaC37H49N7O9S
Mol. Weight767.89 g/mol
Pentagastrin
What is Pentagastrin?
Pentagastrin is a chemical compound with CAS number 5534-95-2 and molecular formula C37H49N7O9S. It is used in various industrial and research applications.
Specifications
Molecular Weight
767.89 g/mol
Assay/Purity
≥95% (HPLC)
