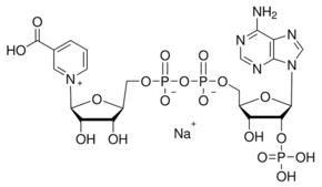
Nicotinic acid adenine dinucleotide phosphate sodium salt

CAS Number5502-96-5
FormulaC21H27N6O18P3 · xNa+
Mol. Weight744.39 (free acid basis) g/mol
Nicotinic acid adenine dinucleotide phosphate sodium salt
What is Nicotinic acid adenine dinucleotide phosphate sodium salt?
Nicotinic acid adenine dinucleotide phosphate sodium salt is a chemical compound with CAS number 5502-96-5 and molecular formula C21H27N6O18P3 · xNa+. It is used in various industrial and research applications.
Specifications
Molecular Weight
744.39 (free acid basis) g/mol
Assay/Purity
≥92.5%
Safety Information
GHS07Signal Word
Warning
Hazard Statements
H315-H319-H335
Precautionary Statements
P261-P305 + P351 + P338
Required PPE
dust mask type N95 (US), Eyeshields, Gloves
WGK Germany
3
