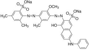
Direct Violet 51

CAS Number5489-77-0
FormulaC32H27N5Na2O8S2
Mol. Weight719.70 g/mol
Direct Violet 51
What is Direct Violet 51?
Direct Violet 51 is a chemical compound with CAS number 5489-77-0 and molecular formula C32H27N5Na2O8S2. It is used in various industrial and research applications.
Specifications
Molecular Weight
719.70 g/mol
Colour Index Number
27905
