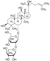
Ginsenoside Rg2

CAS Number52286-74-5
FormulaC42H72O13
Mol. Weight785.01 g/mol
Ginsenoside Rg2
What is Ginsenoside Rg2?
Ginsenoside Rg2 is a chemical compound with CAS number 52286-74-5 and molecular formula C42H72O13. It is used in various industrial and research applications.
Specifications
Molecular Weight
785.01 g/mol
Grade
analytical standard
Assay/Purity
≥95% (HPLC)
Safety Information
GHS07Signal Word
Warning
Hazard Statements
H302
WGK Germany
3
