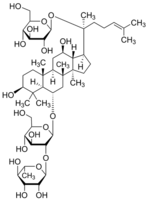
Ginsenoside Re

CAS Number52286-59-6
FormulaC48H82O18
Ginsenoside Re
What is Ginsenoside Re?
Ginsenoside Re is a chemical compound with CAS number 52286-59-6 and molecular formula C48H82O18. It is used in various industrial and research applications.
Applications
Reference Standard in the analysis of herbal medicinal products
