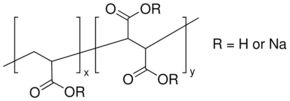
Poly(acrylic acid-co-maleic acid) sodium salt

CAS Number52255-49-9
FormulaN/A
Poly(acrylic acid-co-maleic acid) sodium salt
What is Poly(acrylic acid-co-maleic acid) sodium salt?
Poly(acrylic acid-co-maleic acid) sodium salt is a chemical compound with CAS number 52255-49-9. It is used in various industrial and research applications.
