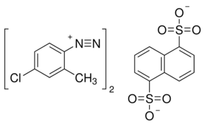
Fast Red TR Salt 1,5-naphthalenedisulfonate salt

CAS Number51503-28-7
FormulaN/A
Mol. Weight440.88 g/mol
Fast Red TR Salt 1,5-naphthalenedisulfonate salt
What is Fast Red TR Salt 1,5-naphthalenedisulfonate salt?
Fast Red TR Salt 1,5-naphthalenedisulfonate salt is a chemical compound with CAS number 51503-28-7. It is used in various industrial and research applications.
Specifications
Linear Formula
C7H6N2Cl · C10H7O6S2
Molecular Weight
440.88 g/mol
Colour Index Number
37085
Safety Information
GHS08Signal Word
Warning
Hazard Statements
H371
Precautionary Statements
P260
WGK Germany
3
Frequently Asked Questions
Alternative Names & Synonyms
C7H6N2Cl · C10H7O6S2
