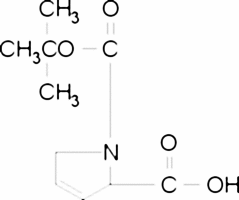
Boc-3,4-Dehydro-L-proline

CAS Number51154-06-4
FormulaN/A
Mol. Weight213.23 g/mol
Boc-3,4-Dehydro-L-proline
What is Boc-3,4-Dehydro-L-proline?
Boc-3,4-Dehydro-L-proline is a chemical compound with CAS number 51154-06-4. It is used in various industrial and research applications.
Specifications
Molecular Weight
213.23 g/mol
Safety Information
GHS07
GHS09Signal Word
Warning
Hazard Statements
H319-H400
Precautionary Statements
P273-P305 + P351 + P338
Required PPE
dust mask type N95 (US), Eyeshields, Gloves
WGK Germany
3
Frequently Asked Questions
Alternative Names & Synonyms
C10H15NO4
