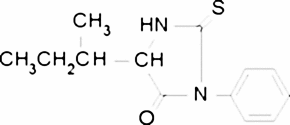
PTH-isoleucine

CAS Number5066-94-4
FormulaC13H16N2OS
Mol. Weight248.34 g/mol
PTH-isoleucine
What is PTH-isoleucine?
PTH-isoleucine is a chemical compound with CAS number 5066-94-4 and molecular formula C13H16N2OS. It is used in various industrial and research applications.
Specifications
Molecular Weight
248.34 g/mol
