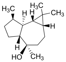
(−)-Globulol

CAS Number489-41-8
FormulaC15H26O
Mol. Weight222.37 g/mol
(−)-Globulol
What is (−)-Globulol?
(−)-Globulol is a chemical compound with CAS number 489-41-8 and molecular formula C15H26O. It is used in various industrial and research applications.
Specifications
Molecular Weight
222.37 g/mol
Assay/Purity
≥98.5% (sum of enantiomers, GC)
