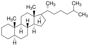
5α-Cholestane

CAS Number481-21-0
FormulaC27H48
Mol. Weight372.67 g/mol
5α-Cholestane
What is 5α-Cholestane?
5α-Cholestane is a chemical compound with CAS number 481-21-0 and molecular formula C27H48. It is used in various industrial and research applications.
Specifications
Molecular Weight
372.67 g/mol
Assay/Purity
≥97% (GC)
Solubility
Do you have solubility information on this product that you would like to share?
