Sedoheptulose anhydride monohydrate

CAS Number469-90-9
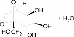
FormulaC7H12O6 · H2O
Mol. Weight210.18 g/mol
Sedoheptulose anhydride monohydrate
What is Sedoheptulose anhydride monohydrate?
Sedoheptulose anhydride monohydrate is a chemical compound with CAS number 469-90-9 and molecular formula C7H12O6 · H2O. It is used in various industrial and research applications.
Specifications
Molecular Weight
210.18 g/mol
