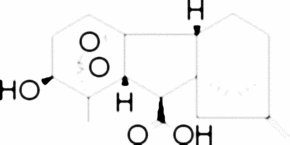
Gibberellin A4

Gibberellin A4
What is Gibberellin A4?
Gibberellin A4 is a chemical compound with CAS number 468-44-0 and molecular formula C19H24O5. It is used in various industrial and research applications.
Applications
Gibberillic acids (GA) are important plant growth hormones that promote plant cell growth and elongation. Gebberillins promote rapid stem and root growth, induce mitotic division and initiate (break dormancy) and increase seed germination rates. The gibberellins are also involved in processes such as gravitropism, tensioning and floral display.
Gibberellin A3 (G1025, G7645) and A4 (G7276) may be used as supplements to plant growth media such as Murashige and Skoog media. The specific actions of A3 and A4 or combinations of Gebberellins should be determined in specific plant applications.
Specifications
332.39 g/mol
≥90%
≤5% gibberellin A7
