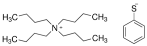
Tetrabutylammonium thiophenolate

CAS Number4670-62-6
FormulaN/A
Mol. Weight351.63 g/mol
Tetrabutylammonium thiophenolate
What is Tetrabutylammonium thiophenolate?
Tetrabutylammonium thiophenolate is a chemical compound with CAS number 4670-62-6. It is used in various industrial and research applications.
Specifications
Linear Formula
(CH3CH2CH2CH2)4N(C6H5S)
Molecular Weight
351.63 g/mol
Grade
technical
Assay/Purity
≥97.0% (NT)
Safety Information
GHS07Signal Word
Warning
Hazard Statements
H315-H319-H335
Precautionary Statements
P261-P305 + P351 + P338
Required PPE
dust mask type N95 (US), Eyeshields, Gloves
Melting Point
77-85 °C
82-85 °C(lit.)
WGK Germany
3
