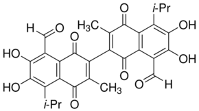
Gossypolone

CAS Number4547-72-2
FormulaC30H26O10
Mol. Weight546.52 g/mol
Gossypolone
What is Gossypolone?
Gossypolone is a chemical compound with CAS number 4547-72-2 and molecular formula C30H26O10. It is used in various industrial and research applications.
Specifications
Molecular Weight
546.52 g/mol
Assay/Purity
~98%
Safety Information
GHS07Signal Word
Warning
Hazard Statements
H302
Required PPE
dust mask type N95 (US), Eyeshields, Gloves
WGK Germany
3
