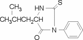
PTH-leucine

CAS Number4399-40-0
FormulaC13H16N2OS
Mol. Weight248.34 g/mol
PTH-leucine
What is PTH-leucine?
PTH-leucine is a chemical compound with CAS number 4399-40-0 and molecular formula C13H16N2OS. It is used in various industrial and research applications.
Specifications
Molecular Weight
248.34 g/mol
