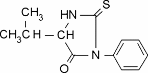
PTH-valine

CAS Number4333-20-4
FormulaC12H14N2OS
Mol. Weight234.32 g/mol
PTH-valine
What is PTH-valine?
PTH-valine is a chemical compound with CAS number 4333-20-4 and molecular formula C12H14N2OS. It is used in various industrial and research applications.
Specifications
Molecular Weight
234.32 g/mol
