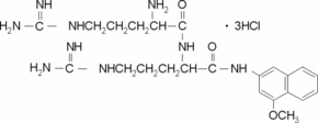
Arg-Arg 4-methoxy-β-naphthylamide trihydrochloride

CAS Number42761-77-3
FormulaC23H35N9O3 · 3HCl
Mol. Weight594.97 g/mol
Arg-Arg 4-methoxy-β-naphthylamide trihydrochloride
What is Arg-Arg 4-methoxy-β-naphthylamide trihydrochloride?
Arg-Arg 4-methoxy-β-naphthylamide trihydrochloride is a chemical compound with CAS number 42761-77-3 and molecular formula C23H35N9O3 · 3HCl. It is used in various industrial and research applications.
Specifications
Molecular Weight
594.97 g/mol
Safety Information
GHS08Signal Word
Warning
Hazard Statements
H351
Precautionary Statements
P281
Required PPE
Eyeshields, full-face particle respirator type N100 (US), Gloves, respirator cartridge type N100 (US), type P1 (EN143) respirator filter, type P3 (EN 143) respirator cartridges
WGK Germany
3
