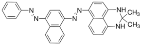
Sudan Black B

CAS Number4197-25-5
FormulaC29H24N6
Mol. Weight456.54 g/mol
Sudan Black B
What is Sudan Black B?
Sudan Black B is a chemical compound with CAS number 4197-25-5 and molecular formula C29H24N6. It is used in various industrial and research applications.
Specifications
Molecular Weight
456.54 g/mol
Colour Index Number
26150
