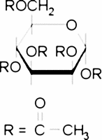
α-D-Mannose pentaacetate

CAS Number4163-65-9
FormulaC16H22O11
Mol. Weight390.34 g/mol
α-D-Mannose pentaacetate
What is α-D-Mannose pentaacetate?
α-D-Mannose pentaacetate is a chemical compound with CAS number 4163-65-9 and molecular formula C16H22O11. It is used in various industrial and research applications.
Applications
α-D-Mannose pentaacetate was used for glycosylation in a study that assessed novel synthetic inhibitors of selectin-mediated cell adhesion. 1 It has also been used in a study to investigate stereospecific entry to spiroketal glycosides using alkylidenecarbene C-H insertion. 2
Specifications
Molecular Weight
390.34 g/mol
