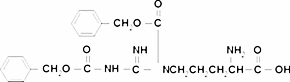
NG,NG,-Di-Cbz-L-arginine

CAS Number4125-79-5
FormulaN/A
Mol. Weight442.47 g/mol
NG,NG,-Di-Cbz-L-arginine
What is NG,NG,-Di-Cbz-L-arginine?
NG,NG,-Di-Cbz-L-arginine is a chemical compound with CAS number 4125-79-5. It is used in various industrial and research applications.
Specifications
Molecular Weight
442.47 g/mol
Frequently Asked Questions
Alternative Names & Synonyms
4125-79-5, C22H26N4O6
