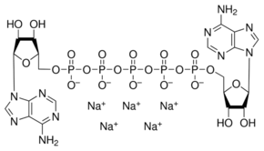
P1,P5-Di(adenosine-5′) pentaphosphate pentasodium salt

CAS Number4097-04-5
FormulaN/A
Mol. Weight1026.28 g/mol
P1,P5-Di(adenosine-5′) pentaphosphate pentasodium salt
What is P1,P5-Di(adenosine-5′) pentaphosphate pentasodium salt?
P1,P5-Di(adenosine-5′) pentaphosphate pentasodium salt is a chemical compound with CAS number 4097-04-5. It is used in various industrial and research applications.
Specifications
Linear Formula
C20H29N10O22P5 · 5 Na
Molecular Weight
1026.28 g/mol
Assay/Purity
≥95% (HPLC)
Solubility
H2O: soluble50 mg/mL
Frequently Asked Questions
Alternative Names & Synonyms
C20H29N10O22P5 · 5 Na
