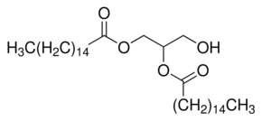
1,2-Dipalmitoyl-rac-glycerol

CAS Number40290-32-2
FormulaN/A
Mol. Weight568.91 g/mol
1,2-Dipalmitoyl-rac-glycerol
What is 1,2-Dipalmitoyl-rac-glycerol?
1,2-Dipalmitoyl-rac-glycerol is a chemical compound with CAS number 40290-32-2. It is used in various industrial and research applications.
Specifications
Molecular Weight
568.91 g/mol
Assay/Purity
≥99.0% (after transesterification, GC)
Frequently Asked Questions
Alternative Names & Synonyms
C35H68O5
