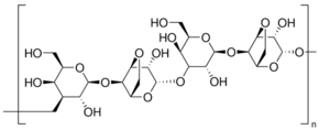
2-Hydroxyethylagarose

CAS Number39346-81-1
FormulaN/A
2-Hydroxyethylagarose
What is 2-Hydroxyethylagarose?
2-Hydroxyethylagarose is a chemical compound with CAS number 39346-81-1. It is used in various industrial and research applications.
Applications
Gels exhibit excellent clarity and are particularly useful for the preparation of media containing heat-labile materials. Recommended for preparation of agarose beads.
Specifications
Solubility
H2O: soluble10 mg/mL (with heat)
