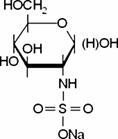
D-Glucosamine 2-sulfate sodium salt

CAS Number38899-05-7
FormulaC6H12NO8SNa
Mol. Weight281.22 g/mol
D-Glucosamine 2-sulfate sodium salt
What is D-Glucosamine 2-sulfate sodium salt?
D-Glucosamine 2-sulfate sodium salt is a chemical compound with CAS number 38899-05-7 and molecular formula C6H12NO8SNa. It is used in various industrial and research applications.
Specifications
Linear Formula
C6H12NO8SNa
Molecular Weight
281.22 g/mol
Assay/Purity
≥99% (TLC)
