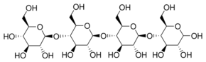
Cellotetraose

CAS Number38819-01-1
FormulaC24H42O21
Mol. Weight666.58 g/mol
Cellotetraose
What is Cellotetraose?
Cellotetraose is a chemical compound with CAS number 38819-01-1 and molecular formula C24H42O21. It is used in various industrial and research applications.
Specifications
Molecular Weight
666.58 g/mol
Assay/Purity
≥85% (HPLC)
