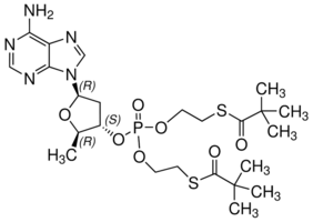
2′,5′-dd-3′-AMP-bis(t-Bu-SATE)

CAS Number387356-12-9
FormulaN/A
Mol. Weight603.69 g/mol
2′,5′-dd-3′-AMP-bis(t-Bu-SATE)
What is 2′,5′-dd-3′-AMP-bis(t-Bu-SATE)?
2′,5′-dd-3′-AMP-bis(t-Bu-SATE) is a chemical compound with CAS number 387356-12-9. It is used in various industrial and research applications.
Specifications
Molecular Weight
603.69 g/mol
Assay/Purity
≥98% (HPLC)
Solubility
DMSO: soluble5 mg/mL
Frequently Asked Questions
Alternative Names & Synonyms
C24H38N5O7PS2
