[des-pGlu1]-LH-RH
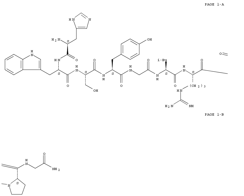
![[des-pGlu1]-LH-RH chemical structure](https://pub-f4d920c906024441a773a96f7098e551.r2.dev/images/products/38280-53-4.png)
CAS Number38280-53-4
FormulaC50H70N16O11
Mol. Weight1071.19 g/mol
[des-pGlu1]-LH-RH
What is [des-pGlu1]-LH-RH?
[des-pGlu1]-LH-RH is a chemical compound with CAS number 38280-53-4 and molecular formula C50H70N16O11. It is used in various industrial and research applications.
Specifications
Molecular Weight
1071.19 g/mol
Assay/Purity
≥97% (HPLC)
Safety Information
GHS08Signal Word
Danger
Hazard Statements
H360
Precautionary Statements
P201-P308 + P313
Required PPE
Eyeshields, full-face particle respirator type N100 (US), Gloves, respirator cartridge type N100 (US), type P1 (EN143) respirator filter, type P3 (EN 143) respirator cartridges
WGK Germany
3
