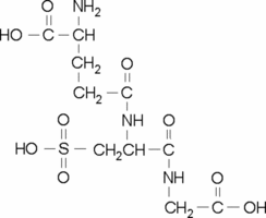
Glutathionesulfonic acid

CAS Number3773-07-7
FormulaC10H17N3O9S
Mol. Weight355.32 g/mol
Glutathionesulfonic acid
What is Glutathionesulfonic acid?
Glutathionesulfonic acid is a chemical compound with CAS number 3773-07-7 and molecular formula C10H17N3O9S. It is used in various industrial and research applications.
Specifications
Molecular Weight
355.32 g/mol
