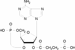
2′-O-Monosuccinyladenosine 3′:5′-cyclic monophosphate

CAS Number36940-87-1
FormulaC14H16N5O9P
Mol. Weight429.28 g/mol
2′-O-Monosuccinyladenosine 3′:5′-cyclic monophosphate
What is 2′-O-Monosuccinyladenosine 3′:5′-cyclic monophosphate?
2′-O-Monosuccinyladenosine 3′:5′-cyclic monophosphate is a chemical compound with CAS number 36940-87-1 and molecular formula C14H16N5O9P. It is used in various industrial and research applications.
Applications
2′-O-Monosuccinyladenosin
Specifications
Molecular Weight
429.28 g/mol
Assay/Purity
≥98%
