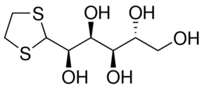
D-Glucose, ethylenedithioacetal

CAS Number3650-65-5
FormulaN/A
Mol. Weight256.34 g/mol
D-Glucose, ethylenedithioacetal
What is D-Glucose, ethylenedithioacetal?
D-Glucose, ethylenedithioacetal is a chemical compound with CAS number 3650-65-5. It is used in various industrial and research applications.
Specifications
Molecular Weight
256.34 g/mol
Assay/Purity
97%
Frequently Asked Questions
Alternative Names & Synonyms
C8H16O5S2
