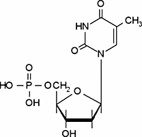
Thymidine 5′-monophosphate

CAS Number365-07-1
FormulaC10H15N2O8P
Mol. Weight322.21 g/mol
Thymidine 5′-monophosphate
What is Thymidine 5′-monophosphate?
Thymidine 5′-monophosphate is a chemical compound with CAS number 365-07-1 and molecular formula C10H15N2O8P. It is used in various industrial and research applications.
Specifications
Molecular Weight
322.21 g/mol
Assay/Purity
98-100%
