3′-Dephosphocoenzyme A

CAS Number3633-59-8
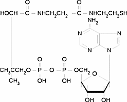
FormulaC21H35N7O13P2S
Mol. Weight687.55 g/mol
3′-Dephosphocoenzyme A
What is 3′-Dephosphocoenzyme A?
3′-Dephosphocoenzyme A is a chemical compound with CAS number 3633-59-8 and molecular formula C21H35N7O13P2S. It is used in various industrial and research applications.
Applications
Dephosphocoenzyme A is the direct precursor of coenzyme A. It is used for the synthesis of coenzyme A by bifunctional CoA Synthase (CoASy, 4′-phosphopantetheine adenylyltransferase/depho
Specifications
Molecular Weight
687.55 g/mol
Assay/Purity
≥90% (HPLC)
Impurities
≤1% CoA
