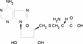
S-(5′-Adenosyl)-L-cysteine

CAS Number35899-53-7
FormulaC13H18N6O5S
Mol. Weight370.38 g/mol
S-(5′-Adenosyl)-L-cysteine
What is S-(5′-Adenosyl)-L-cysteine?
S-(5′-Adenosyl)-L-cysteine is a chemical compound with CAS number 35899-53-7 and molecular formula C13H18N6O5S. It is used in various industrial and research applications.
Specifications
Molecular Weight
370.38 g/mol
