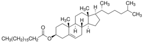
Cholesteryl stearate

CAS Number35602-69-8
FormulaC45H80O2
Mol. Weight653.12 g/mol
Cholesteryl stearate
What is Cholesteryl stearate?
Cholesteryl stearate is a chemical compound with CAS number 35602-69-8 and molecular formula C45H80O2. It is used in various industrial and research applications.
Specifications
Molecular Weight
653.12 g/mol
Assay/Purity
96%
