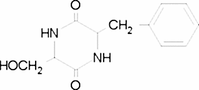
Cyclo(Phe-Ser)

CAS Number35591-00-5
FormulaC12H14N2O3
Mol. Weight234.25 g/mol
Cyclo(Phe-Ser)
What is Cyclo(Phe-Ser)?
Cyclo(Phe-Ser) is a chemical compound with CAS number 35591-00-5 and molecular formula C12H14N2O3. It is used in various industrial and research applications.
Specifications
Molecular Weight
234.25 g/mol
Assay/Purity
≥97% (TLC)
