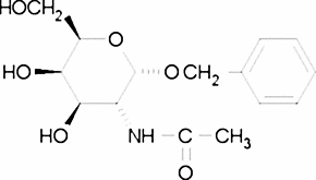
Benzyl 2-acetamido-2-deoxy-α-D-galactopyranoside

CAS Number3554-93-6
FormulaC15H21NO6
Mol. Weight311.33 g/mol
Benzyl 2-acetamido-2-deoxy-α-D-galactopyranoside
What is Benzyl 2-acetamido-2-deoxy-α-D-galactopyranoside?
Benzyl 2-acetamido-2-deoxy-α-D-galactopyranoside is a chemical compound with CAS number 3554-93-6 and molecular formula C15H21NO6. It is used in various industrial and research applications.
Specifications
Molecular Weight
311.33 g/mol
Solubility
methanol: soluble10 mg/mL, clear
