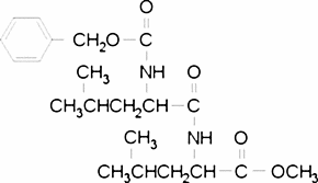
Z-Leu-Leu methyl ester

CAS Number3504-37-8
FormulaC21H32N2O5
Mol. Weight392.49 g/mol
Z-Leu-Leu methyl ester
What is Z-Leu-Leu methyl ester?
Z-Leu-Leu methyl ester is a chemical compound with CAS number 3504-37-8 and molecular formula C21H32N2O5. It is used in various industrial and research applications.
Specifications
Molecular Weight
392.49 g/mol
