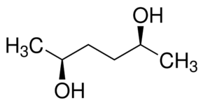
(2S,5S)-2,5-Hexanediol

CAS Number34338-96-0
FormulaN/A
Mol. Weight118.17 g/mol
(2S,5S)-2,5-Hexanediol
What is (2S,5S)-2,5-Hexanediol?
(2S,5S)-2,5-Hexanediol is a chemical compound with CAS number 34338-96-0. It is used in various industrial and research applications.
Applications
Used in the synthesis of phospholanes.1 A building block in the synthesis of trans-2,5-dimethylpyrrolidine.2 C2 symmetric chiral diol with versatile applications as a chiral auxiliary,3,4 building block,5,6,7 and chiral ligand.8,9
Specifications
Linear Formula
CH3CH(OH)CH2CH2CH(OH)CH3
Molecular Weight
118.17 g/mol
Assay/Purity
99%
Boiling Point
212-215 °C(lit.)
Safety Information
GHS07Signal Word
Warning
Hazard Statements
H302-H315-H319-H335
Precautionary Statements
P261-P305 + P351 + P338
Required PPE
dust mask type N95 (US), Eyeshields, Gloves
Melting Point
50-53 °C(lit.)
WGK Germany
3
Frequently Asked Questions
Alternative Names & Synonyms
34338-96-0, CH3CH(OH)CH2CH2CH(OH)CH3
