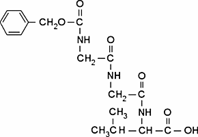
Z-Gly-Gly-Val

CAS Number34152-86-8
FormulaC17H23N3O6
Mol. Weight365.38 g/mol
Z-Gly-Gly-Val
What is Z-Gly-Gly-Val?
Z-Gly-Gly-Val is a chemical compound with CAS number 34152-86-8 and molecular formula C17H23N3O6. It is used in various industrial and research applications.
Applications
Cbz-Gly-Gly-Val (Cbz-GGV), an N-terminal carboxybenzyl blocked tripeptide, may be use in solid phase peptide synthesis (SPPS).
Specifications
Molecular Weight
365.38 g/mol
