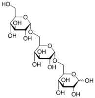
Isomaltotriose

CAS Number3371-50-4
FormulaC18H32O16
Mol. Weight504.44 g/mol
Isomaltotriose
What is Isomaltotriose?
Isomaltotriose is a chemical compound with CAS number 3371-50-4 and molecular formula C18H32O16. It is used in various industrial and research applications.
Specifications
Molecular Weight
504.44 g/mol
Assay/Purity
≥98% (TLC)
