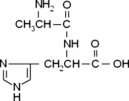
Ala-His

CAS Number3253-17-6
FormulaC9H14N4O3
Mol. Weight226.23 g/mol
Ala-His
What is Ala-His?
Ala-His is a chemical compound with CAS number 3253-17-6 and molecular formula C9H14N4O3. It is used in various industrial and research applications.
Specifications
Molecular Weight
226.23 g/mol
Safety Information
GHS07Signal Word
Warning
Hazard Statements
H315-H319-H335
Precautionary Statements
P261-P305 + P351 + P338
Required PPE
dust mask type N95 (US), Eyeshields, Gloves
EC Number
221-845-3
WGK Germany
3
