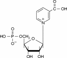
Nicotinic acid mononucleotide

CAS Number321-02-8
FormulaC11H14NO9P
Mol. Weight335.20 g/mol
Nicotinic acid mononucleotide
What is Nicotinic acid mononucleotide?
Nicotinic acid mononucleotide is a chemical compound with CAS number 321-02-8 and molecular formula C11H14NO9P. It is used in various industrial and research applications.
Specifications
Molecular Weight
335.20 g/mol
