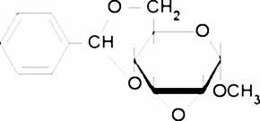
Methyl 2,3-anhydro-4,6-O-benzylidene-α-D-allopyranoside

CAS Number3150-15-0
FormulaN/A
Mol. Weight264.27 g/mol
Methyl 2,3-anhydro-4,6-O-benzylidene-α-D-allopyranoside
What is Methyl 2,3-anhydro-4,6-O-benzylidene-α-D-allopyranoside?
Methyl 2,3-anhydro-4,6-O-benzylidene-α-D-allopyranoside is a chemical compound with CAS number 3150-15-0. It is used in various industrial and research applications.
Applications
Methyl 2,3-anhydro-4,6-O-benzyli
Specifications
Molecular Weight
264.27 g/mol
Frequently Asked Questions
Alternative Names & Synonyms
3150-15-0, C14H16O5
