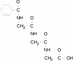
Hippuryl-Gly-Gly

CAS Number31384-90-4
FormulaC13H15N3O5
Mol. Weight293.28 g/mol
Hippuryl-Gly-Gly
What is Hippuryl-Gly-Gly?
Hippuryl-Gly-Gly is a chemical compound with CAS number 31384-90-4 and molecular formula C13H15N3O5. It is used in various industrial and research applications.
Specifications
Molecular Weight
293.28 g/mol
