Hygromycin B from Streptomyces hygroscopicus

Hygromycin B from Streptomyces hygroscopicus
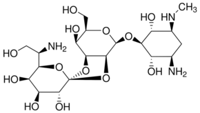
What is Hygromycin B from Streptomyces hygroscopicus?
Hygromycin B from Streptomyces hygroscopicus is a chemical compound with CAS number 31282-04-9 and molecular formula C20H37N3O13. It is used in various industrial and research applications.
Applications
Hygromycin B is an aminoglycoside antibiotic isolated from Streptomyces hygroscopicus. It has been used to study protein synthesis at the level of the 70S ribosome translocation and mRNA template misreading, as an antiviral agent by selectively penetrating cells rendered permeable by virus infection and inhibiting translation, and as a selection agent for hygromycin resistance gene transformed cells. It is recommended for use as a selection agent at 100-800 μg/mL, specifically at 100 μg/mL for prokaryotes, 200 μg/mL for lower eukaryotes and 150-400 μg/mL for higher eukaryotes.
Specifications
527.52 g/mol
≥60% (HPLC)
Safety Information
GHS05
GHS06
GHS08Danger
H300 +H310 + H330-H318-H334
P260-P264-P280-P284-P301 + P310-P302 + P350
250-545-5
3
