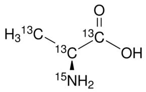
L-Alanine-13C3,15N

CAS Number312623-85-1
Formula15N
Mol. Weight93.06 g/mol
L-Alanine-13C3,15N
What is L-Alanine-13C3,15N?
L-Alanine-13C3,15N is a chemical compound with CAS number 312623-85-1 and molecular formula 15N. It is used in various industrial and research applications.
Specifications
Linear Formula
13CH313CH(15NH2)13CO2H
Molecular Weight
93.06 g/mol
Frequently Asked Questions
Alternative Names & Synonyms
13CH313CH(15NH2)13CO2H
